近日,物理学院王坤与合作者在高能物理研究中取得新进展。研究团队提出了一种基于粒子级深度学习的轻希格斯玻色子搜寻方案,为未来高能对撞机上的新物理探索提供了新思路。相关成果发表于《物理评论D》[Physical Review D 113, 055025 (2026)],王坤老师为论文共同通讯作者。
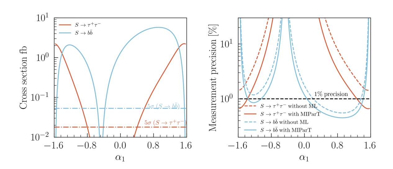
2012年希格斯玻色子的发现,标志着标准模型取得重大成功,但这并不意味着电弱尺度的标量部分已经完全清楚。近年来,在95 GeV附近的轻希格斯玻色子一直是国际高能物理领域持续关注的问题之一。若这类新粒子真实存在,将为理解标准模型之外的新物理打开新的窗口。由于这类轻希格斯玻色子的信号较弱,通常的分析方法难以充分挖掘末态粒子中的有效信息。针对这一问题,研究团队将粒子级 Transformer 深度学习方法引入轻希格斯玻色子搜寻,显著提升了信号识别能力和测量精度。该成果为未来希格斯工厂上的新粒子搜寻提供了新的技术路径。
论文链接:https://doi.org/10.1103/13h1-zdmz

